Апшеронский «Водоканал» решил купить экскаватор, но по ошибке указал Cadillac на сайте госзакупок

Краснодарский край
  •  © Фото Kevauto, wikipedia.org (CC BY-SA 4.0)
    © Фото Kevauto, wikipedia.org (CC BY-SA 4.0)

ОАО «Водоканал Апшеронского района» 8 июля разместило на сайте госзакупок информацию о приобретении машины Cadillac XT5 за 5 млн рублей

Паблик «Туподар» утром 10 июля обратил внимание, что на сайте госзакупок 8 июля появилось извещение о лизинговой покупке автомобиля Cadillac XT5. Заказчиком значилось ОАО «Водоканал Апшеронского района». В общих сведениях о закупке модель автомобиля была указана с ошибкой, при этом в прикрепленных документах все наименования написаны правильно.

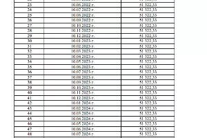
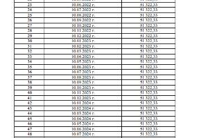
В извещении о закупке у единственного поставщика, утвержденном генеральным директором компании, местом поставки автомобиля указаны Котельники Московской области. Стоимость автомобиля составила 4 млн 996 тыс. рублей, при этом авансовый платеж превысил 2 млн рублей. Остальную часть суммы «Водоканал» должен выплатить до 31 мая 2025 года.

Также из документа следует, что компания хотела купить машину 2020 года выпуска в комплектации Sport AT 2.0T AWD 200 л.с. Сиденья должны быть обиты натуральной перфорированной кожей Nappa бежево-коричневого цвета. Кроме того, у автомобиля должен быть панорамный люк, пакет курильщика, беспроводная зарядка телефонов и другое.

Заместитель гендиректора ОАО «Водоканал Апшеронского района» Арсений Бандурин в телефонном разговоре рассказал порталу Юга.ру, что сотрудницы отдела госзакупок ошиблись: они покупали экскаватор Terex 825, но заполнили еще одну анкету на Cadillac. В компании заверили, что это техническая ошибка и что они уже обратились в госзакупки, чтобы убрать информацию с сайта.

Позже «Водоканал» в официальном ответе на запрос еще раз объяснил, что несколько дней назад купил дорогостоящую технику, но это был экскаватор.

«По "Кадиллаку" для нашего отдела закупок были сделаны предварительные просчеты со стороны лизинговой компании по просьбе и в интересах наших партнеров. Приобретение данного автомобиля "Водоканалом" не планировалось, не было заключенных сделок, никакие платежи в отношении данной закупки не осуществлялись», — сообщили в компании.

Там повторили, что отдел закупок опубликовал извещение по ошибке. В компании заметили, что протокол заседания закупочной комиссии, размещенный на сайте, не подписан руководством.

На госзакупках действительно уже есть анкета от 23 июня на приобретение экскаватора-погрузчика TLB 825-RM за 6 млн рублей, о котором говорил Бандурин. Отметим, что размещенные на сайте документы по состоявшейся закупке также не подписаны руководством «Водоканала».

Лента новостей

Весь мир в одном парке
29 мая, 12:12 Реклама
Весь мир в одном парке
В Краснодаре ГК ИНСИТИ построит Парк Русского географического общества
«Я не краевед, не историк и не писатель, я (ис)следователь»
27 мая, 14:00
«Я не краевед, не историк и не писатель, я (ис)следователь»
Большое интервью с Игорем Сирица — автором популярных книг об истории Екатеринодара
«Безопаснее ничего не станет»
26 мая, 12:15
«Безопаснее ничего не станет»
Как серия реформ ударила по охотничьим обществам Кубани